王朝陽院士團隊提出了熱調控磷酸鐵鋰電池(TM-LFP battery)的概念,其核心在于:在電動汽車充電之前將電池快速加熱至60℃左右進行快充,停止充電后電池會迅速冷卻至環境溫度。
除了成本,電動汽車里程焦慮癥是限制電動汽車大規模普及的重要因素之一。所謂里程焦慮,是指人們在行駛過程中擔心電動汽車的電量不足,不足以將其帶到充電樁充電或者目的地。
目前,有望解決里程焦慮癥的有效方案是鋰電快充技術,提高電動汽車的續航能力。在這方面,特斯拉取得了亮眼的業績。2020年6月29日,特斯拉在官網發布了Model 3高性能全輪驅動版車輛的國標工況續航里程,續航里程測試結果為635km,百公里加速時間為3.4秒。操控性和空氣動力學表現極佳,時速可達261公里/小時。最重要的是,充電 15 分鐘即可補充最多約 250 公里的續航電量。
在技術層面上,雖然已經實現了鋰電快充技術,但是這離不開高活性電極材料的保駕護航,隨之而來的便是人們非常關注的安全性和成本問題。而消費者是否愿意為高成本和高風險買單,這似乎不言而明。
因此,如何兼具低成本、安全性高、高能量密度和充電速度,成為了鋰電池發展進程中的一個永恒主題。
近日,美國賓夕法尼亞州立大學王朝陽院士團隊通過采用一種更為簡捷、成本低廉的“熱刺激”技術,攻克了鋰電池快速充電和電池壽命難以兼得的關鍵問題。團隊提出了熱調控磷酸鐵鋰電池(TM-LFP battery) 的新型概念,研制出一種集低成本、安全性、快充且高續航里程于一身的高性能磷酸鐵鋰電池,有望解決新能源汽車發展的“里程焦慮”和“充電時間焦慮”難題。
據悉,僅需充電10分鐘,該磷酸鐵鋰電池即可續航約250公里,而且成本僅與傳統的內燃機相當。值得一提的是,裝載該電池的電動汽車可在3秒內加速到60公里/小時!相關研究成果以“Thermally modulated lithium iron phosphate batteries for mass-market electric vehicles”為題,發表在《Nature Energy》上!

低成本、快充和電池壽命如何兼得?
王朝陽院士表示,秘訣就在于團隊前期研發的熱刺激技術,也稱自加熱技術(self-heating technology)。
在介紹該技術之前,先來看看鋰電池快充技術的原理。簡單來說,快充的實質就是增加鋰離子的傳遞速率。普遍的做法是提高溫度,從而加快鋰離子移動速度,那么相應的充電速度就會提升。但是提高溫度帶來了新的問題,長時間高溫充電會讓電解液分解,縮短電池壽命。這就需要摸索出一個適當的溫度參數和時間參數。

圖一:鋰電快充原理示意圖。高溫下充電速度會加快,其中金色小球代表鋰離子。(圖源:賓夕法尼亞州立大學)
在前期的研究中,王院士團隊發現,如果電池能在充電前迅速加熱到60℃,快充10分鐘,然后迅速降溫到環境溫度,那么不僅不會形成電池的熱衰減,還能避免嚴重的SEI膜增長。
而王朝陽院士團隊研發的自加熱技術的關鍵就在于:在特定溫度下快速充電。為了讓電池能夠在快充前迅速加熱到指定溫度,王朝陽團隊在電池內部插入 50 微米厚度的鎳箔,一端連接到負極,另一端延伸到電池外部以形成第三端。電流一旦流動,就會通過電阻加熱鎳箔,產生熱量。一旦電池內部溫度超過 60 ℃時,就會觸動溫度傳感器并關閉鎳箔電流,此時電池與準備好快速充電。而不工作時,電池的溫度會快速冷卻到環境溫度。

圖2:自加熱電池結構圖
熱調控磷酸鐵鋰電池的性能賣點
基于上述技術,王朝陽院士團隊提出了熱調控磷酸鐵鋰電池(TM-LFP battery)的概念,其核心在于:在電動汽車充電之前將電池快速加熱至60℃左右進行快充,停止充電后電池會迅速冷卻至環境溫度。
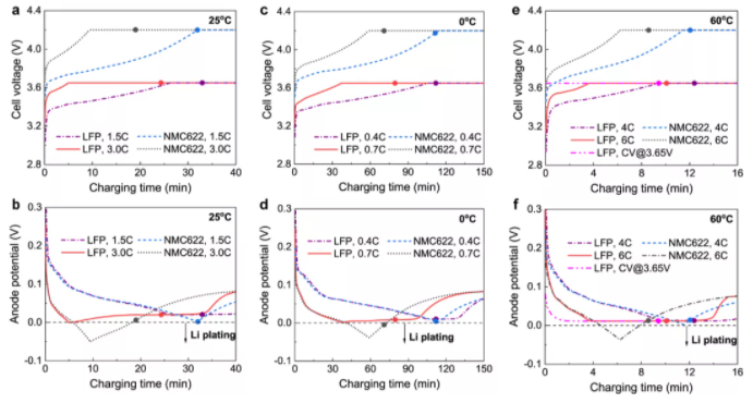
性能賣點一:10分鐘快速充電,可續航約250公里,而且不會出現所謂的析鋰現象。
如圖3所示,磷酸鐵鋰電池在室溫下最快可實現20分鐘 (3C)充電,而在低溫(0℃)下,只能實現80分鐘(0.7C)充電。相反,如果在充電之前先將電池加熱至60℃,磷酸鐵鋰電池在6C的倍率下充電也沒有觀察到析鋰現象,而且充電時間可降至10分鐘以內。這也意味著,只要加熱速度足夠快,熱調控電池在任何環境溫度下都可以實現10分鐘快速充電。

圖3:磷酸鐵鋰電池在不同環境溫度下最大充電速率。
性能賣點二:全氣候電池,實現250公里的高續航能力,百公里加速時間僅需3秒以內。
基于團隊前期的自加熱電池結構,熱調控電池每升溫10℃大概消耗1.35%SOC,這意味著從-20℃加熱至60℃需要消耗10.8% SOC。也就是說,即使在-20℃環境中熱調控磷酸鐵鋰電池加熱后只剩余89.2% SOC,仍然可以提供大于250公里的續航里程(圖4a)。此外,該電池在-20℃, 10%SOC下的功率密度仍然達到~1500W/kg(圖4b)。更重要的是,所組裝的40kWh的電池包能夠實現大于300kW的峰值功率,這意味著百公里加速時間可維持在3秒以內,超越了特斯拉!

圖4:熱調控電池能夠實現全氣候、高續航里程、高功率以及10分鐘快充。
性能賣點三:采用低活性,低比表面積的石墨作為負極材料,電池的壽命有望超過200萬公里。
最后,團隊對比了傳統三元電池、磷酸鐵鋰刀片電池、熱調控磷酸鐵鋰電池的各項性能指標。如圖5所示,熱調控電池可同時滿足電動汽車的多項需求,集低成本、高安全、高功率、快速充電、全氣候、長壽命于一身,有望應用于未來面向大眾市場的電動汽車中。

圖5:熱調控磷酸鐵鋰電池、傳統三元電池、磷酸鐵鋰刀片電池的性能指標雷達圖。
10分鐘快充技術離產業化有多遠?
團隊表示,該技術基本上是能直接產業化的,原因在于:一,實驗采用了工業界標準的電池;二,技術通過了第三方、美國阿貢國家實驗室測試。
此外,據了解王朝陽院士另一項重大技術突破“全氣候”電池,已經實現商業化,且這一成果即將用于 2022 年北京冬奧會。
責任編輯: 李穎